ইলেক্ট্রন নিঃসৃত হয়-
1.00
আলোক-তড়িৎ ক্রিয়ায়
তড়িৎ ক্রিয়ায়
চৌম্বক ক্রিয়ায়
তাপীয় ক্রিয়ায়
ধাতুর উপর আলোক পতিত হলে যে ইলেকট্রন বিকিরণ হয় তাকে বলে-
ফোটন
প্রাইমারী ইলেকট্রন
ফটো ইলেকট্রন
কুয়ান্টা
নিচের কোন ধাতু থেকে ফটোইলেক্ট্রন নির্গত হবে না-
সিজিয়াম
পটাসিয়াম
অ্যালুমিনিয়াম
সোডিয়াম
অডিটরিয়ামের কতজন ঢুকছেন বা বের হচ্ছেন তা গণনার জন্য স্বয়ংক্রিয় যন্ত্রে নিচের কোনটি ব্যবহৃত হয়?
শুষ্ক কোষ
আলোক তড়িৎ কোষ
এক্স রে
গামা রে
একটি ধাতব পৃষ্ঠে অতিবেগুনী রশ্মি আপতিত হলে কোন কণা নির্গত হয়?
আলফা পার্টিকেল
প্রোটন
ইলেক্ট্রন
নিউট্রন
Ishak sir-2nd Paper, ch-8 (page: 614), ধাতব পৃষ্ঠে অতি বেগুনী রশ্মি আপতিত হলে ফটো ইলেকট্রন নির্গত হয়।
Ishak sir-2nd Paper, ch-8 (page: 614),
ধাতব পৃষ্ঠে অতি বেগুনী রশ্মি আপতিত হলে ফটো ইলেকট্রন নির্গত হয়।
প্লাটিনামের কার্য অপেক্ষক 6.31eV। সর্বোচ্চ কত তরঙ্গদৈর্ঘ্যের আলো প্লাটিনামের উপর আপতিত হলে , ইলেকট্রন নিঃসৃত হবে ?
631 A°
1970 A°
1.97 A°
3152 A°
কোনো ধাতুর কাৰ্য অপেক্ষক 3.2 × 10-19 J। ঐ ধাতুতে 4500A তরঙ্গদৈর্ঘ্যের আলেক রশ্মি আপতিত হলে নিঃসৃত ইলেক্ট্রনের সর্বোচ্চ গতিশক্তি নির্ণয় কর। [যখন প্লাঙ্কের ধ্রুবকের মান = 6.63 × 10-34 J-s]
0.8 × 10 - 19 J
2.4 × 10-19 J
1.0 x 10-19 J
1.2 x 10 - 19 J
কোনো পদার্থের কার্যাপেক্ষক 1.85 eV । ঐ পদার্থতে সূচন কম্পাঙ্ক কত ?
4.4 x 1014 Hz
0.44 x 1014 Hz
4.4 x 1012 Hz
None of the above
কোন ধাতুর ক্ষেত্রে ফটোইলেক্ট্রন নিঃসরণের সূচন তরঙ্গদৈর্ঘ্য 6000Å. ধাতুটির কার্যপেক্ষক ইলেকট্রন ভোল্টে কত?
5.5eV
2.7eV
5.05eV
2.07eV
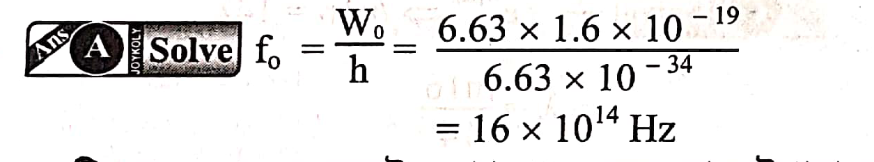
একটি ধাতুর কার্যাপেক্ষক 6.63eV । ধাতুটির ক্ষেত্রে ফটোইলেক্ট্রন নিঃসরণের সূচন কম্পাঙ্ক কত?
[প্লাঙ্কের ধ্রুবক=6.63×10-34 Js]
16×1014Hz
16×10-14Hz
1.6×10-19Hz
1.6×1019Hz