কোনাে লেন্সের ক্ষমতা +6D। লেন্সটি থেকে কত দূরে বস্তু রাখলে বস্তুর এক-তৃতীয়াংশ আকারের বিম্ব সৃষ্টি হবে?

1.00

  1.  
  2.  
  3.  
  4.  

প্রাসঙ্গিক প্রশ্ন

কোনাে লেন্সের ক্ষমতা +6D। লেন্সটি থেকে কত দূরে বস্তু রাখলে বস্তুর এক-তৃতীয়াংশ আকারের বিম্ব সৃষ্টি হবে?

1.00

  1.  
  2.  
  3.  
  4.  

মায়োপিয়া হলে কোন লেন্স ব্যবহার করা হয়?

1.00

  1.  
  2.  
  3.  
  4.  

নিকটদৃষ্টি বা হ্রস্বদৃষ্টি বা মায়োপিয়া (ইংরেজি: Myopia) চোখের ৪টি প্রধান রোগের মধ্যে ১টি। এটি আসলে চোখের সেই অবস্থা যখন চোখের তারারন্ধ্র/তারারন্ধ্রের ভেতর দিয়ে আগত আলো অক্ষিগোলকের রেটিনায় আপতিত না হয়ে তার সামনে কোন স্থানেই একটি বিন্দুতে মিলিত হয়ে প্রতিবিম্ব সৃষ্টি করে ফেলে। ফলে চোখের নিকট দুরত্ব ২৫ সেন্টিমিটার এর বেশি দূরের কোন বস্তুর বিম্ব রেটিনার সামনে গঠিত হয়। ফলে বস্তুর স্পষ্ট প্রতিবিম্বও গঠিত হয় না আর ভালো দেখাও সম্ভব হয় না। এ জন্য মায়োপিয়াকে "ক্ষীণদৃষ্টি"ও বলা হয়। এর অন্যান্য নামের মধ্যে রয়েছে "অদূরবদ্ধ দৃষ্টি","হ্রস্ব দৃষ্টি" এবং "স্বল্প দৃষ্টি" 

এক্ষেত্রে অনেক দূরবর্তী বস্তু থেকে আগত আলোক রশ্মীগুচ্ছ চোখের লেন্সে প্রতিসৃত হয়ে রেটিনার সামনে মকোন বিন্দুতে মিলিত হয়। ফলে লক্ষ্যবস্তু স্পষ্ট দেখা যায় না। এই চোখের দূরবিন্দু অসীমে না হয়ে ২৫ সেন্টিমিটারের বেশি দুরত্বে কোন বিন্দুতে হয় যা অনেক সময় মাত্র ১মিটার বা তার চেয়েও কম দূরত্বে অবস্থিত হয়। তাই এই চোখ এর বেশি দূরত্বে কোন বস্তু স্পষ্ট দেখতে পায় না।

চোখের লেন্সের অভিসারী ক্ষমতা বেড়ে যাওয়ায় এই ত্রুটির উদ্ভব হয় বলে এই ত্রুটি দূর করার জন্য অভিসারী ক্ষমতা কমাবার মতন সহায়ক লেন্স বা চশমা অর্থাৎ অবতল লেন্সের চশমা ব্যবহৃত হয়। এক্ষেত্রে চোখের লেন্সের সামনে সহায়ক লেন্স বা চশমা হিসেবে এমন ফোকাস দূরত্বের অবতল লেন্স ব্যবহৃত হয় যার অসীম দূরত্বের লক্ষ্যবস্তুর বিম্ব ত্রুটিপূর্ণ চোখের দূরবিন্দুতে গঠন করে।

চোখের কোন ত্রুটির জন্য একই দূরত্বে অবস্থিত অনুভূমিক ও উলম্ব রেখাকে সমান সুষ্ঠভাবে দেখা যায় না?

1.00

  1.  
  2.  
  3.  
  4.  

বিষম দৃষ্টি হলো এক ধরনের দৃষ্টি ত্রুটি যেখানে কর্নিয়া বা লেন্সের বক্রতার গড়মিল থাকে।ফলে যেকোন দূরত্বে বিকৃত বা ঝাপসা প্রতিবিম্ব তৈরী হয়। 

লেন্সের ক্ষমতা যদি 5 ডায়াপ্টার হয়, তাহলে লেন্সটি-

1.00

  1.  
  2.  
  3.  
  4.  

একটি লেন্সের ক্ষমতা +2 ডায়াপটার হলে উহার ফোকাস দূরত্ব কত?

1.00

  1.  
  2.  
  3.  
  4.  

মাইওপিয়া জনিত ত্রুটির সংশোধনের জন্য ব্যবহৃত হয়-

1.00

  1.  
  2.  
  3.  
  4.  

মায়োপিয়া এমন একটি অবস্থা যার ফলে কাছের দৃষ্টি স্পষ্ট হলেও দুরে দৃষ্টি হয় অস্পষ্ট।এক্ষেত্রে অবতল লেন্স ব্যাবহৃত হয়।যা ঋনাত্বক ক্ষমতাসম্পন্ন। 

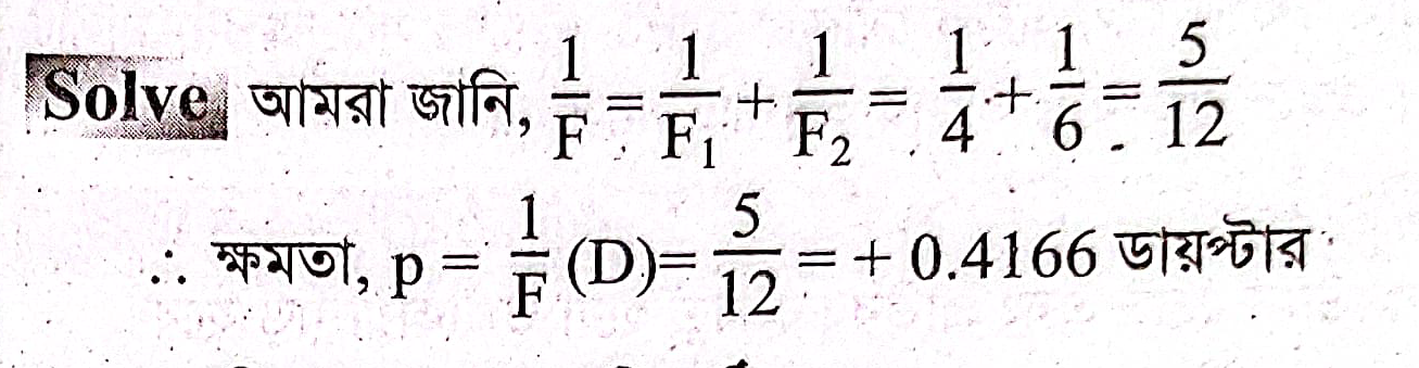
4 মিটার এবং 6 মিটার ফোকাস দূরত্ব বিশিষ্ট দুইটি উত্তল লেন্সকে সংস্পর্শে স্থাপন করলে সংযুক্ত লেন্সের ক্ষমতা কত?

1.00

  1.  
  2.  
  3.  
  4.  

+20 এবং -40 ক্ষমতা সম্পন্ন দুইটি লেন্সকে পরস্পরের সংস্পর্শে রাখা হলো, ইহার ফলে এই নতুন সংযোজন-

1.00

  1.  
  2.  
  3.  
  4.  

কোন ব্যক্তি 50cm এবং কম দূরত্বের বস্তু স্পষ্টভাবে দেখতে পান না। যদি ঐ ব্যক্তি 25cm দূরত্বের বস্তু স্পষ্টভাবে দেখতে চান তবে যে চশমা ব্যবহার করতে হবে তার লেন্সের ক্ষমতা হতে হবে-

1.00

  1.  
  2.  
  3.  
  4.  

-4 ডায়পটার লেন্সের ক্ষেত্রে কোনটি সঠিক? 

1.00

  1.  
  2.  
  3.  
  4.