AC কে একমুখীকরণকে কী বলে?
1.00
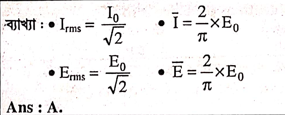
রেকটিফায়ার হলো একটি বৈদ্যুতিক যন্ত্র যা পরিবর্তনশীল বিদ্যুৎ প্রবাহকে (যার দিক পর্যায়ক্রমিকভাবে পরিবর্তন হয়), একমুখী বিদ্যুৎ প্রবাহে রূপান্তরিত করে, যার দিক হলো একটি নির্দিষ্ট দিকে এবং এই প্রক্রিয়াকে বলে একমুখীকরন (রেকটিফিকেশন)। রেকটিফায়ারের অনেক ব্যবহার আছে যেমনঃ পাওয়ার সাপ্লাইয়ের উপাদান হিসেবে এবং রেডিও সংকেতের সনাক্তকরণ যন্ত্র হিসেবে। রেকটিফায়ার হতে পারে সলিড স্টেট ডায়োড, ভ্যাকুয়াম টিউব ডায়োড, মার্কারী আর্ক ভালভ এবং অন্যান্য উপাদান থেকে নির্মিত। যে যন্ত্র এর বিপরীত কার্য সম্পাদন করে (ডিসিকে এসিতে পরিবর্তিত করে) তাকে বলে বৈদ্যুতিক ইনভার্টার। যখন শুধুমাত্র একটি ডায়োড ব্যবহার করা হয় এসিকে রেকটিফাই করতে (তরঙ্গের ধনাত্নক বা ঋণাত্নক অংশকে বাধাগ্রস্ত করতে) তখন ডায়োড ও রেকটিফায়ারের মধ্যে ব্যবধান খুব সামান্য থাকে অর্থাৎ রেকটিফায়ার শব্দটা তখন বর্ণনা করে একটি ডায়োডকে যা এসিকে ডিসিতে রূপান্তর করতে ব্যবহৃত হয়। একটি ডায়োড ব্যবহার করার চেয়ে প্রায় সব রেকটিফায়ারই একটি নির্দিষ্ট সংখ্যক ডায়োডকে অন্তর্ভুক্ত করে এসি থেকে ডিসিকে রূপান্তর করতে আরো বেশি কর্মদক্ষতার সাথে। সিলিকন অর্ধপরিবাহী রেকটিফায়ারের উন্নতির আগে, ভ্যাকুয়াম টিউব ডায়োড এবং কপার(১) অক্সাইড বা সেলেনিয়াম রেকটিফায়ারের গাদা ব্যবহৃত হত।







...