তক্তায় 0.039cm গুলি ঢোকার পর বেগ অর্ধেক হলে বাকি পথটুকুতে অতিক্রান্ত দূরত্ব-

1.00

  1.  
  2.  
  3.  
  4.  

শর্টকাট হলো একটা গুলি দেয়লে ঢুকলে যদি বেগ অর্ধেক হয় তবে সেটি আরো এক-তৃতীয়াংশ হয়ে যাবে।

প্রাসঙ্গিক প্রশ্ন

তক্তায় 0.039cm গুলি ঢোকার পর বেগ অর্ধেক হলে বাকি পথটুকুতে অতিক্রান্ত দূরত্ব-

1.00

  1.  
  2.  
  3.  
  4.  

শর্টকাট হলো একটা গুলি দেয়লে ঢুকলে যদি বেগ অর্ধেক হয় তবে সেটি আরো এক-তৃতীয়াংশ হয়ে যাবে।

একটি বন্দুকের গুলি কোন কাঠের তক্তার মধ্যে 0.56m প্রবেশের পর এর অর্ধেক বেগ হারায়, গুলিটি তক্তার মধ্যে আর কতখানি প্রবেশ করতে পারবে? 

1.00

  1.  
  2.  
  3.  
  4.  

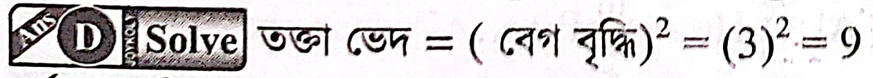
একটি রাইফেলের গুলি একটি তক্তাকে ভেদ করে থেমে যায়। গুলির বেগ যদি তিনগুণ করা হয় তবে এটি কয়টি তক্তা ভেদ করতে পারবে? 

1.00

  1.  
  2.  
  3.  
  4.  

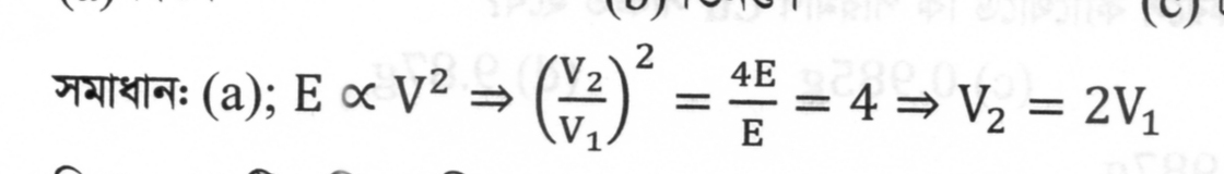
একটি রাইফেলের গুলি একটি তক্তাকে ভেদ করতে পারে। যদি গুলির বেগ চারগুণ হয়, তবে অনুরূপ কয়টি তক্তা ভেদ করতে পারবে

1.00

  1.  
  2.  
  3.  
  4.  
  5.  

গুলি ছুড়লে বন্দুক পেছন দিকে ধাক্কা দেয়, এর কারণ-

1.50

  1.  
  2.  
  3.  
  4.  

2 গ্রাম ভরের বুলেট 1সে.মি. পুরু 4টা তক্তা ভেদ করতে পারে। বুলেটটির বেগ অর্ধেক করা হলে তা অনুরূপ কয়টি তক্তা ভেদ করতে পারবে?

1.00

  1.  
  2.  
  3.  
  4.  

6 Kg ভরের একটি বন্ধুক হতে 0.01 Kg ভরের একটি গুলি 600 ms-1 বেগে বের হয়ে গেল। বন্ধুকের পাশ্চাৎ বেগ কত?

1.00

  1.  
  2.  
  3.  
  4.  

একটি রাইফেলের গুলি নির্দিষ্ট পুরুত্বের একটি তক্তা ভেদ করতে পারে। এরুপ 4 টি তক্তা ভেদ করতে গুলির বেগ কত গুণ করতে হবে ? 

1.00

  1.  
  2.  
  3.  
  4.  

একটি রাইফেলের গুলি নির্দিষ্ট পুরত্বের একটি তক্তা ভেদ করতে পারে। এরুপ 4টি তক্তা ভেদ করতে হলে গুলির বেগ কত গুণ বৃদ্ধি করতে হবে?

1.00

  1.  
  2.  
  3.  
  4.  

একটি গুলির বেগ দ্বিগুণ করা হলে এর গতিশক্তি কত গুণ হবে?

1.00

  1.  
  2.  
  3.  
  4.