Blood leukaemia এর চিকিৎসায় কোন তেজস্ক্রিয় আইসোটোপ ব্যবহার করা হয়?

1.00

  1.  
  2.  
  3.  
  4.  
রক্তের লিউকোমিয়া রোগের চিকিৎসায় 32P এর ফসফেট ব্যবহৃত হয়

প্রাসঙ্গিক প্রশ্ন

7 গ্রাম শর্করার মোলারিটি mMol/L কে mg/dl এ প্রকাশ করলে কোনটি পাওয়া যায়?

1.00

  1.  
  2.  
  3.  
  4.  

1 mmol/l = 18 mg/dl for glucose

Blood leukaemia এর চিকিৎসায় কোন তেজস্ক্রিয় আইসোটোপ ব্যবহার করা হয়?

1.00

  1.  
  2.  
  3.  
  4.  
রক্তের লিউকোমিয়া রোগের চিকিৎসায় 32P এর ফসফেট ব্যবহৃত হয়

ppm জন্য সঠিক কোনটি?

1.00

  1.  
  2.  
  3.  
  4.  
In science and engineering, the parts-per notation is a set of pseudo-units to describe small values of miscellaneous dimensionless quantities, e.g. mole fraction or mass fraction. Since these fractions are quantity-per-quantity measures, they are pure numbers with no associated units of measurement. Wikipedia

250 mL দ্রবণে 49 g H2SOদ্রবীভূত থাকলে ঐ দ্রবণের নরমালিটি-

1.00

  1.  
  2.  
  3.  
  4.  

S=(1000W)/(MV)=(1000.49)/(98.250)=2M 

নরমালিটি=তুল্য সংখ্যা*মোলারিটি=2*2=4N

এখানে, সালফিউরিক এসডের তুল্য সংখ্যা=2

সবচেয়ে কম সক্রিয় ধাতু কোনটি?

1.00

  1.  
  2.  
  3.  
  4.  

The most reactive metal on the periodic table is francium. 

Silver is the least active.

এক লিটার 3M সোডিয়াম হাইড্রোক্সাইড প্রস্তুত করতে কতটুকু NaOH লাগবে?

1.00

  1.  
  2.  
  3.  
  4.  

ব্যাখ্যা: 

W=SMV/1000

    =(3 x 40 x 1000) /1000

    =120gm

যে দ্রবণের ঘনত্ব সঠিকভাবে জানা থাকে তাকে কী দ্রবণ বলে? 

1.00

  1.  
  2.  
  3.  
  4.  

Ref: HZ-423 (2nd) 

ব্যাখ্যা: কোনো প্রাইমারি স্ট্যান্ডার্ড পদার্থের নমুনা দিয়ে তৈরী করা দ্রবণের ঘনমাত্রা সঠিকভাবে জানা থাকলে দ্রবণকে ঐ নমুনা দ্রবের প্রমান দ্রবন বলে।

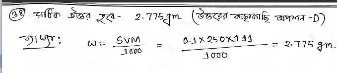
250 সি.সি. ডেসি নরমাল দ্রবণ তৈরী করতে কত গ্রাম CaCl2 (আণবিক ওজন 111 গ্রাম মোল 1) প্রয়োজন?

1.00

  1.  
  2.  
  3.  
  4.  

স্ট্যান্ডার্ড চাপে ও তাপমাত্রায় একটি গ্যাসের এক লিটার ভর 1.4246 গ্রাম। গ্যাসটির আণবিক ভর কত?

1.00

  1.  
  2.  
  3.  
  4.